MAP Test Practice: Boost Your Child's Academic Success
Hi, I’m Ariav Schlesinger, a certified teacher with a Master’s in Education and over a decade of classroom and tutoring experience. At TestPrep-Online, I design practice materials for academic readiness tests, guide personalized tutoring, and work directly with students worldwide. My background spans all core subjects, with a special focus on language arts. Over the years, I’ve helped students from Kindergarten through high school discover strategies that fit their learning style, build confidence, and approach adaptive assessments like the MAP Growth with clarity and calm. My goal is to make sure every child can show what they truly know and reach their highest potential.
This page covers the MAP Growth test across all grades, from kindergarten through 12th. Click the grade below to jump directly to a free MAP Growth–style question for your child’s grade.
Kindergarten | Grade 1 | Grade 2 | Grade 3 | Grade 4 | Grade 5 | Grade 6 | Grade 7 | Grade 8 | Grade 9 | Grade 10 | Grade 11 | Grade 12
These MAP Growth–style examples give a glimpse of the types of questions students may encounter on the test. Each grade features three free sample questions, with additional questions available on our dedicated grade-level practice pages.
Which of the following addition exercises has the same result as 8+7?
Wrong
Wrong
Correct!
Wrong
Let's Break This Down Step by Step
This question can be solved without any calculation, only by understanding an important concept: the commutative property of addition.
In this question, we are asked to find out which addition exercise gives the same result as 8 + 7. That means we need to first solve 8 + 7, and then look through the answer choices to see which one matches.
According to the commutative property of addition rule, when you add two numbers, you can switch their order and the sum will stay the same.
In symbols:
a + b = b + a
Since 8 + 7 = 15, switching the order to 7 + 8 will also equal 15.
Answer (A) is incorrect because 9 + 5 = 14 not 15
Answer (B) is incorrect because 8 + 8 = 16 not 15
Answer (C) is correct because 7 + 8 and 8 + 7 both equal 15.
Answer (D) is incorrect because 7 + 9 = 16 not 15
Look at the picture of Sarah and her friends.
Which one of them is Sarah?
Wrong
Wrong
Correct!
Wrong
Let's Break This Down Step by Step
The question asks: “Which one of them is Sarah?”
To answer, we need to listen carefully to the story and match the description to the correct picture.
The story tells us that Sarah:
Answer (A) is incorrect because the girl in this picture is wearing a yellow shirt and an orange skirt.
Answer (B) is incorrect because the girl in this picture is wearing a pink shirt and a pink skirt.
Answer (C) is correct because this is the only picture that presents a girl wearing a purple shirt and a blue skirt, just like the story tells.
Answer (D) is incorrect because the character in this picture is wearing a green shirt and green pants.
Read the following sentence and answer the question below:
What is the name of your teacher
What sign should come after the end of the sentence?
Wrong
Wrong
Wrong
Correct!
Let's Break This Down Step by Step
“What is the name of your teacher”
The sentence begins with the word “What”, which is a question word. It is asking for information (the teacher’s name), not giving information.
Since this is a question, the correct punctuation mark is (?) and the correct answer is (D).
A teacher asked the students in her class what their favorite food was.
Their answers are shown in the following bar graph:
What is the food that was chosen by the fewest students?
Wrong
Wrong
Correct!
Wrong
Wrong
Let's Break This Down Step by Step
Each bar shows how many students chose each food. The taller the bar, the more students liked that food. The shorter the bar, the fewer students liked it.
The shortest bar is the Hamburger bar, which shows only 2 students.
Since the question asks for the food chosen by the fewest students, the correct answer is Hamburger (C).
Addind "im" to the beginning of the word "possible" changes the meaning of the word.
What is the new meaning?
Correct!
Wrong
Wrong
Wrong
Let's Break This Down Step by Step
The question asks us to take the word possible and then add the prefix “im–” at the beginning. When we add letters to the beginning of a word, that group of letters is called a prefix. Prefixes change the meaning of the original word.
The prefix “im” means “not.” So, whenever we see “im” at the beginning of a word, it usually gives the word an opposite or negative meaning.
The original word is “possible”, which means that something can be done.
When we add “im,” it becomes “impossible,” which means “not possible.”
Answer (A) is correct because “impossible” means “not possible.” This follows the rule of the prefix “im–,” which changes a word to mean its opposite.
Answer (B), “Very possible,” is incorrect because the prefix “im” doesn’t mean “very.”
Answer (C), “Might be possible,” is incorrect because the prefix “im” doesn’t mean “might.”
Answer (D), “More possible,” is incorrect because the prefix “im” doesn’t mean “more.”
Teacher Tip: When you see a prefix, stop and ask yourself: What does this prefix mean? Learning a few common prefixes (like im- = not, pre- = before, re- = again) will help you figure out the meaning of many new words.
Which sentence shows strong emotion?
Wrong
Correct!
Wrong
Wrong
Let's Break This Down Step by Step
A sentence shows strong emotion when it expresses excitement, surprise, anger, joy, or another strong feeling. One common clue is the use of an exclamation mark (!) at the end of the sentence. Strong emotion can also be shown through words that sound amazed or intense, even without the exclamation mark.
Answers (A) and (D) are incorrect because they are just plain statements. Each tells a fact, but none of them show any feeling whatsoever, yet alone a strong feeling.
Answer (B) is correct. Notice that this sentence ends with an exclamation mark. The writer is showing surprise or excitement that the homework was done so quickly. This clearly shows strong emotion.
Answer (C) is incorrect because it is a question. It doesn’t express any particular emotion, just asks for information.
Teacher Tip: When you’re asked about sentences with strong emotion, look for the exclamation mark first. Then think: Is this sentence showing surprise, excitement, or another strong feeling? If yes, that’s your answer.
A marathon runner ran for six hours. Select all the measurements that are equal to six hours.
Wrong
Correct!
Correct!
Wrong
Correct!
Wrong
Let's Break This Down Step by Step
In this question you are asked to find which of the answer choices are equal to 6 hours.
This means you need to convert hours → minutes and hours → seconds.
Let’s first think about how many minutes are in one hour. You probably know that one hour always has 60 minutes. Now, if the runner ran for 6 hours, that means we need to multiply 60 by 6.
6 × 60 = 360 minutes
So now we know that 6 hours equals 360 minutes.
Each minute has 60 seconds in it. Since we just found that 6 hours is 360 minutes, we now need to see how many seconds are in 360 minutes. That means we need to multiple 360 by 60.
Since we are dealing with big numbers, here’s a little trick to make it easier:
Instead of multiplying 360 by 60 all at once, think of 60 as “6 × 10.”
So, 360 × 60 = 21,600 seconds.
Answer (A) is incorrect because 21,000 seconds is less than the 21,600 seconds in six hours.
Answer (B) is correct because 21,600 seconds equals six hours:
6 × 60 minutes × 60 seconds = 21,600 seconds
Answer (C) is incorrect because 10,300 seconds is far less than six hours; it’s less than three hours.
Answer (D) is incorrect because 300 minutes is only five hours, not six.
Answer (E) is correct because 360 minutes equals six hours:
6 × 60 = 360 minutes
Answer (F) is incorrect because 180 minutes is only three hours, not six.
Teacher Tip: When you face a problem like this, don’t panic about all the numbers. Just remember:
Taking it step by step makes big numbers feel much easier.
Read the passage:
Today was a wonderful day. In the morning, all the kids in our school went to help out in the community. One class went to help tidy up the town library, another class went to plant flowers in a public garden, and my class went to help serve lunch in a home for the elderly. When we got back to school, the principle spoke to us and said it's great that we can be a meaningful part of society from an early age.
After school, I went to my friend Jenna's place. She's our neighbor. Her big brother made pizzas for us, and we ate them in a tent they put up in the living room. It was such a fun day.
Which of the following statements is true?
Wrong
Wrong
Correct!
Wrong
Let's Break This Down Step by Step
The narrator is the person using the word “I” in the passage. That means we need to pay attention to what this person’s class actually did.
The text says: “my class went to help serve lunch in a home for the elderly.”
This tells us directly what the narrator’s class did.
Answer (C) says: “The narrator’s class served food to the elderly.”
This matches exactly with what we underlined in the passage → ✔ Correct.
Answer (A),“All of the kids in the school cleaned the library,” is incorrect because only one class went to the library. Other classes planted flowers or served food. Not everyone did the same job.
Answer (B), “The narrator of the story planted flowers” is incorrect because the narrator clearly said another class planted flowers.
Answer (C) is correct because the narrator (the person telling the story) says in the third sentence, “...my class went to help serve lunch in a home for the elderly” .
Answer (D), “Jenna made pizza after helping out in the community,” is incorrect because Jenna did not make the pizza. The passage says “Her big brother made pizzas for us.” Also, the story never says Jenna helped in the community.
Which of the following sentences is grammatically correct?
Wrong
Wrong
Correct!
Wrong
Let's Break This Down Step by Step
All of the answer choices begin with the word “there.” In grammar, there is often used as a pronoun to introduce something. After there, we usually see a helping verb such as is, are, was, or have. That helping verb must agree with the subject that comes later in the sentence.
Answer (A) is incorrect because the subject “several new houses” is plural, so the verb should be “are,” not “is.” The correct sentence would be: “There are several new houses in my neighborhood.”
Answer (B) is incorrect because “many competitors” is plural, so the verb should be “have,” not “has.” The correct sentence would be: “There have not been many competitors in the last competition.”
Answer (C) is correct because the subject “a problem” is singular, and the verb “was” correctly matches it. The sentence “There was a problem with my new computer” is grammatically correct.
Answer (D) is incorrect because the subject “a new student” is singular, so the verb should be “is,” not “are.” The correct sentence would be: “There is a new student from Argentina in my class.”
Teacher Tip: When checking a sentence that begins with “there,” always find the subject (the noun after the verb). Then make sure the verb matches that subject, not the word “there.”
The diagram shows the top, front, and side views of a solid.
Wrong
Correct!
Wrong
Wrong
Wrong
Let's Break This Down Step by Step
These are 2D “pictures” of the same 3D object.
The side view shows one column of three cubes stacked on top of each other.
This means the solid is only one cube deep.
Eliminate (A) and (E), because those solids are more than one cube deep.
The top view shows four cubes in a straight row.
This means that when looking from above, the cubes must all fit in a single line.
Eliminate (D), because you can see two rows of cubes from above.
The front view shows three cubes tall on the left, two cubes tall in the middle, and one cube tall on the right.
When you compare this to the answer choices, only (B) matches exactly.
The correct solid is (B) because it is one cube deep, four cubes across from above, and its front view matches perfectly.
Teacher Tip: When solving these problems, always use the side view first to check the depth. That usually helps you eliminate several wrong answers quickly.
Read the paragraph.
Did you know that black tea and green tea come from the same plant? The only difference between them is the way the tea leaves are processed. Green tea is made from leaves that are dried soon after they are picked. This helps them keep their green color and delicate, fresh flavor. Black tea is made by crushing the tea leaves before they are dried, which helps them develop their dark color and _________ flavor.
The paragraph has a missing word.
Which word will best express the idea that black tea has a lot of flavor?
Wrong
Correct!
Wrong
Wrong
Let's Break This Down Step by Step
The question says black tea has “a lot of flavor.” That means we need a word that shows strong or powerful taste.
Green tea keeps a “delicate, fresh flavor.” Delicate means light/soft. The sentence about black tea says it gets a dark color and ______ flavor. So we expect the opposite of delicate which is a strong flavor.
Say the sentence out loud with each option: Answer (A), "gentle", expresses the idea of little flavor rather than a lot of flavor. Therefore, “…develop their dark color and gentle flavor” is incorrect.
Answer (B), "strong," expresses the ides of a lot of flavor. Therefore, “…develop their dark color and strong flavor” is correct.
Answer (C), "delicious", expresses the idea of a good flavor. Therefore, “…develop their dark color and delicious flavor” is incorrect.
Answer (D),"special," expresses the idea of a different flavor. Therefore, “…develop their dark color and special flavor” is incorrect.
Which of the sentence is written in future tense?
Wrong
Wrong
Wrong
Correct!
Let's Break This Down Step by Step
1 liter = 1,000 milliliters
Because liters are bigger than milliliters, moving from milliliters to liters should make the number smaller.
So we divide by 1,000 (not multiply):
365 ÷ 1,000 = ? Liters
Let’s write 365 as 365.0, so we can clearly see the decimal. Now let's move the decimal three places left:
So, 365 milliliters = 0.365 liters.
Answer (A) 365,000 is incorrect because this is what we would get in milliliters for 365 liters it is much too big. That would mean we multiplied instead of divided.
Answer (B) 3,650 is incorrect because this is what we would get in milliliters for 365 liters
Answer (C) 3.65 is incorrect because it is still too big.
3.65 L = 3,650 mL, which is ten times bigger than 365 milliliters.
Answer D (0.365) is correct.
365 milliliters is 0.365 liters.
One liter = 1,000 milliliters, so since 365 < 1,000, it must be less than 1 liter.
In his science lesson, Jong measured out 365 millimeters of ethanol into a beaker for an experiment.
How much is this in liters?
Wrong
Wrong
Wrong
Correct!
Let's Break This Down Step by Step
Think about the metric system: it’s very organized. We know that 1 liter is the same as 1,000 milliliters. That means liters are the bigger unit, and milliliters are the smaller unit. If you have a certain number of milliliters and you want to know how many liters that is, you need to make the number smaller, because you’re moving to a larger unit.
We are starting with 365 milliliters. To change this into liters, we divide by 1,000, because there are 1,000 milliliters in every liter. So the problem becomes:
365÷1,000365 \div 1,000365÷1,000
Dividing by 10 once moves the decimal point one place to the left. Dividing by 100 moves it two places. Dividing by 1,000 moves it three places to the left.
Let’s write 365 as 365.0, so we can clearly see the decimal. Now we move the decimal three places left:
So, 365 milliliters = 0.365 liters.
Answer (A) is incorrect because 365,000 is much too big. That would mean we multiplied instead of divided.
Answer (B) is incorrect because 3,650 is also too big.
Answer (C) is incorrect because 3.65 is still too big; that would mean 3,650 milliliters.
Answer (D) is correct: 0.365 is exactly what we found.
Teacher Tip: A quick way to check yourself is to think: “Am I converting to a bigger unit or a smaller unit?” If you’re converting to a bigger unit (like liters), the number should get smaller. If your number got larger, you probably went the wrong way.
Passage 1
Corn is a type of plant. Corn was first domesticated by native peoples in Mexico about 10,000 years ago. Since the introduction of corn into Europe by Christopher Columbus and other explorers, corn has spread to all areas of the world suitable for its planting.
Passage 2
Corn is called maize by most countries. This comes from the Spanish word "maiz." There are over 3,500 different uses for corn products, with the most popular being popcorn. Popcorn is seeds of corn that are heated until they burst, becoming light, white balls that are usually eaten with salt and butter or a sweet covering on them. As of 2012, the United States produces 40% of the world's total corn harvest.
What are the two passages mainly about?
Wrong
Wrong
Correct!
Wrong
Let's Break This Down Step by Step
The question asks about the main idea that both passages share. Ask: What is the topic they both share? Ignore details that only appear in one passage. The correct answer will usually be the bigger idea they have in common.
Passage 1 explains the history of corn; how it was first domesticated in Mexico and later spread worldwide.
Passage 2 explains what corn is called in other countries, its many uses (especially popcorn), and how much is produced globally.
Both passages focus on corn: its history, names, uses, and importance.
Answer (A) is correct because both passages are mainly about corn:
Answer (B) is incorrect because “plants” is too broad. Both passages focus on one specific plant: corn, not on plants in general.
Answer (C) is incorrect because “Spanish” is only a small detail in Passage 2 (the word “maiz” comes from Spanish) and isn’t discussed in Passage 1. The shared main idea of both passages is corn—its history, names, and uses—not the Spanish language.
Answer (D) is incorrect because “popcorn” is just one use of corn mentioned in Passage 2 and isn’t the focus of Passage 1. It’s a detail, not the shared main idea.
Which of the following is an incomplete sentence?
Wrong
Correct!
Wrong
Wrong
Let's Break This Down Step by Step
A complete sentence needs two things:
Most importantly, it must express a complete thought.
“After you finally take the English test.”
This option starts with the word “After”, which is a connecting word.
Words like “after,” “because,” and “although” usually introduce a dependent clause (a group of words that cannot stand alone).
Here, the thought feels unfinished. After you take the test… what happens? The sentence leaves us hanging.
This means that answer (B) presents an incomplete sentence (a fragment).
Answers (A), (C), and (D) are incorrect because they present a complete thought:
Answer (B) is the only incomplete sentence, as it does not express a complete thought. The word "after" usually connects between a dependent clause and an independent clause. In this case, there is only a dependent clause, so the sentence does not express a complete thought. Therefore, the correct answer is (B).
The only incomplete sentence is presented in answer (B). All the other options express full ideas.
What is the value of the 5 in 35,367,009 as a power of ten?
Wrong
Correct!
Wrong
Wrong
Wrong
Let's Break This Down Step by Step
The number is 35,367,009.
We read it as thirty-five million, three hundred sixty-seven, nine.
Saying it out loud helps us notice the size of each digit.
The digit 5 is in the millions place. This means that it stands for five million. Written out, that is: 5,000,000
This is a 5 with six zeroes after it.
We can also think of this as five batches of one million:
5 × 1,000,000
This makes it clear that the 5 is being multiplied by the unit of one million.
To match the answer choices, we need to write one million as a power of ten. The quickest way is to count the zeroes. Since 1,000,000 has six zeroes, it equals 10⁶.
Let’s be sure:
106 = 10 x 10 x 10 x 10 x 10 x 10 // simplify the first two numbers
106 = 100 x 10 x 10 x 10 x 10 // simplify the first two numbers
106 = 1,000 x 10 x 10 x 10 // simplify the first two numbers
106 = 10,000 x 10 x 10 // simplify the first two numbers
106 = 1,000,000
So, 10⁶ is the same as one million.
The value of the 5 in 35,367,009 is:
5 × 10⁶
Answer (A) is incorrect because 5 × 105= 500,000. The 5 in 35,367,009 stands for 5,000,000 (millions), not five hundred thousand.
Answer (B) is correct because the 5 is in the millions place, so its value is 5,000,000.
That’s:
5 × 1,000,000
and
1,000,000 = 10 × 10 × 10 × 10 × 10 × 10 = 106
Answer (C) is incorrect because 5 × 107= 50,000,000. That would put the 5 in the ten-millions place, which it isn’t.
Answer (D) is incorrect because 5 × 108= 500,000,000. That would be the hundred-millions place—much too large.
Answer (E) is incorrect because 5 × 109= 5,000,000,000. That’s the billions place—far too large
Read the paragraph:
Peanuts may cause allergic reactions such as itchiness, sneezing, and asthma. The allergy to peanuts causes the immune system to overreact, which is the body’s method of self-defense against potential harm. It is recognized as one of the most severe food allergies because of how common, persistent, and severe the reaction to it can be.
This passage is mainly about:
Wrong
Wrong
Correct!
Wrong
Let's Break This Down Step by Step
The question asks for the main idea. Ask yourself: What is this passage mostly about?
Notice that every sentence in the paragraph is really about peanut allergies, not just about one symptom or one detail.
Answers (A) and (B) present examples of reactions, but the passage is not mainly about them. They are details, not the main idea. This leaves out most of the paragraph.
Answer (C) matches perfectly. The whole passage talks about peanut allergies: what symptoms they cause, how the body reacts, and why they are considered severe. This answer includes all the information in the passage without leaving anything out or exaggerating.
Answer (D) is misleading because the passage says peanut allergies are “one of the most severe.” That doesn’t mean they are worse than all other allergies. This choice is too strong and inaccurate.
Reading strategy reminder
When looking for the main idea:
After the first spring rain falls, the field near my house turns green and many people visit it to absorb some fresh air and beautiful views.
Which of the following is the infinitive in this sentence?
Wrong
Wrong
Wrong
Correct!
Let's Break This Down Step by Step
An infinitive is a grammatical structure in which a verb is used in its simple form without being in any specific tense, such as past, present, or future. The most common usage of an infinitive is when a simple verb follows the word "to." For example, in the sentence "I want to go outside," "to go" is an infinitive. The verb "go" is not past, present, or future, but rather speaks about the idea of going. (This is not to be confused with an imperative, in which a verb is used without being in a specific tense in order to instruct, such as, "Go outside.")
The infinitive in this sentence is "to absorb." Any time you see a simple verb following the word "to," it is an infinitive.
Answer (D) is the only one with "to" followed by the base form of the verb "absorb." Thus, this is the correct answer.
Answer (A) is incorrect as it does not contain any form of verb.
Answer (B) is incorrect as there is no "to" before the word "falls," and also because the base form of this verb should be "fall."
Answer (C) is incorrect as there is no "to" before the word "turns," and also because the base form of this verb should be "turn."
*Note that sometimes infinitives look like “to + verb,” but other times they follow special verbs or modals without “to.”
Hua was building an elaborate work of art made up of several pieces with precise angles. When measuring one of the crucial pieces seen below, his protractor broke before he could measure the final angle. Luckily, Hua was able to determine on his own the precise measurement.
What was the measurement of the angle?
Wrong
Wrong
Wrong
Correct!
Wrong
Let's Break This Down Step by Step
Angles in a triangle add to 180 degrees. To find a missing angle in any triangle, find the total of the two angles given and subtract this from 180.
We are given two angles in the triangle:
25° + 42° = 67°
Since all three angles must equal 180°:
180° – 67° = 113°
Answers (A), 23°, and (B), 67°, come from confusing addition and subtraction.
Answer (C) ,98°, could come from subtracting incorrectly.
Answer (D) is correct. The missing angle is 113°. Always double-check: if your missing angle is bigger than 180° or smaller than 0°, something went wrong. Angles in a triangle can only be between 0° and 180°.
Answer (E), 293°, is impossible; a triangle angle can’t be greater than 180°.
I was so disappointed in that art museum. I was sure it was going to be eclectic, but there were only paintings and they were all from the medieval era. That was not what I was looking forward to.
Based on the sentences, what it the meaning of the word eclectic?
Wrong
Wrong
Correct!
Wrong
Let's Break This Down Step by Step
The speaker thought the museum would be eclectic, but it only had medieval paintings.
Answer (A) is incorrect because the passage never mentions humor or amusement; the issue is variety, not whether the art is funny.
Answer (B) is incorrect because the speaker isn’t judging quality; even high-quality medieval paintings wouldn’t fix the lack of variety.
Answer (C) is correct because it matches the speaker’s expectation of many different kinds of art.
Answer (D) is incorrect because “loud and boisterous” describes noise/behavior, which is irrelevant here; the passage is about types and time period of art.
People wear hats for many reasons, including to express themselves, protection from the sun, wearing a uniform, and as part of their religion. Different cultures have a variety of traditions of hat-wearing, including countless styles for both men and women. Do you like to wear hats?
Which of the following is the best revision of the first sentence?
Wrong
Wrong
Wrong
Correct!
Let's Break This Down Step by Step
A list of the same ideas can be written correctly in several ways, as long as it maintains parallel structure so that every item in the list is written as the same part of speech (i.e. noun, infinitive, gerund).
Answer (A) is incorrect because it breaks parallel structure. "To express" and "to protect" are infinitives, but "practicing" is a gerund.
Answer (B) is incorrect because it breaks parallel structure. "Self-expression" and "protection" are nouns, but "to practice" is an infinitive.
Answer (C) is incorrect because it breaks parallel structure. "Self-expression" is a noun, "protecting" is a gerund, and "to practice" is an infinitive.
Answer (D) is correct because it writes a list using parallel structure. When a list is written in parallel structure, all the items in the list are written using the same part of speech. For example, every item in a list could be a noun, an infinitive ("to___"), or a gerund ("___ing"). In this answer, all the elements in the list are nouns: self-expressions, protection, and practice. Note that there is still parallel structure even though two of the items in the list end in "ion" and one does not.
Solving tip: There can often be several correct ways to write the same list in a sentence. Here is the same list written three different ways:
Noun
People wear hats for many reasons, including self-expression, protection from the sun, and religious practice.
Infinitive
People wear hats for many reasons, including to express themselves, to protect themselves from the sun, and to practice their religion.
Gerund
People wear hats for many reasons, including expressing themselves, protecting themselves from the sun, and practicing their religion.
The value x = 2 is a solution to one of the equations or inequalities below. Which answer is correct?
Wrong
Correct!
Wrong
Wrong
Let's Break This Down Step by Step
We are told that x = 2 is a solution. This means that we need to insert the number 2 into each option and see which one gives us a correct statement.
Absolute value measures the distance of the expression inside it from zero in the number line.
Keep this in mind as we check the options.
Answer (A) is incorrect because if you substitute x = 2, you get:
2 – 4 = 3(2 – 2)
–2 = 0
This is not a correct statement.
Answer (B) is correct because if you substitute x = 2, you get:
2 x 2 – 7 < 4 x 2 – 10
4 – 7 < 8 – 10
–3 < –2
Answer (C) is incorrect because substituting x = 2 gives as a result:
|4 x 2 – 11| > 3 x 2 – 1
|8 – 11| > 6 – 1
|– 3| > 5
3 > 5
This is not a correct statement.
Answer (D) is incorrect because if you substitute x = 2 you get:
|5 – 6 x 2| = 12 x 2 – 15
|5 – 12| = 24 – 15
|–7| = 9
7 = 9
This is not a correct statement.
Read the passage
The famous Greek philosopher Plato was the first to tell the legend of Atlantis—an island subcontinent with a very advanced civilization—in 330 B.C. Nowadays, Atlantis is often idealized as a peaceful utopia; however, in Plato's fable, it was very militaristic and sophisticated. The Atlanteans attacked Greece, a powerful attack which Greece managed to repel; then Atlantis fell out of favor with the gods and sank into the ocean, never to be heard from again.
There is no other evidence, except for Plato's writings, that a place such as Atlantis has ever existed; it makes sense that other writers would tell of such a wondrous and remarkable place, but Plato was the only one. Therefore, most scholars assume Atlantis is a legendary place. However, this has not stopped many voyagers from trying to find the long-lost island. Many books have been written on the subject, and many people who named themselves experts have located Atlantis all around the world: the Atlantic Ocean, Malta, Antarctica, Germany, etc. According to Plato's writings, Atlantis was located in the Atlantic Ocean close to the Mediterranean Sea, but it has never been found. Furthermore, it is scientifically impossible that a large land surface such as Atlantis sank into the ocean the way Plato describes it.
How does the author develop the idea that Plato merely invented Atlantis as a plot device, rather than telling of a true place?
Correct!
Wrong
Wrong
Wrong
Let's Break This Down Step by Step
We are asked how the author builds the argument that Atlantis was likely a story device (not a real place).
Answer (A) is correct because the passage first retells Plato’s fable of Atlantis — describing the story of a powerful island that later sank into the sea. After presenting the fable, the author explains why it is very unlikely to be true: no other writers mentioned it, scholars view it as a legend, explorers never found it, and science shows such sinking is impossible.
Answer (B) is incorrect because explaining that it is scientifically impossible is one of the ways the author uses to disprove the theory; they are not two separate techniques.
Answer (C) is incorrect because explaining why Atlantis was a utopia does not develop the idea that it never existed. Furthermore, the author states that Atlantis was not a utopia, even though nowadays it is often portrayed as such.
Answer (D) is incorrect because the author does not give evidence that Atlantis was real.
A molecule is approximately one million times smaller than a grain of sand.
Which word is modified by the adjective "smaller"?
Correct!
Wrong
Wrong
Wrong
Let's Break This Down Step by Step
An adjective is a word that describes or modifies a noun or a pronoun. It usually tells us about the qualities or characteristics of someone or something.
In “A molecule is approximately one million times smaller than a grain of sand,” the adjective is “smaller.”
The word “smaller” tells us about the size of the molecule compared to a grain of sand.
Answer (A) is correct because the adjective "smaller" modifies the noun "molecule." You can figure this out by asking "What is smaller?" It is the molecule that is smaller.
Answer (B) is incorrect because the adjective "smaller" does not modify the verb "is." An adjective can only modify a noun or pronoun. An adjective cannot modify a verb.
Answer (C) is incorrect because the adjective "smaller" does not modify the noun "times." It does not tell us anything about "times" in the sentence. Rather, "times" is part of an adverbial phrase - "approximately one million times" - that modifies the adjective "smaller," indicating specifying how much smaller.
Answer (D) is incorrect because the adjective "smaller" does not modify the noun "grain," as it is not telling us anything about the grain of sand directly. It is the molecule that is said to be "smaller" than the grain, not the grain that is said to be smaller than the molecule.
What is the value of the expression?
(z x 2)(y – 2) if z = 3 and y = 5?
Wrong
Wrong
Wrong
Correct!
Let's Break This Down Step by Step
The first thing we need to do when evaluating an expression is to substitute the values that are given.
If z = 3 and y = 5, the expression becomes:
(3 × 2)(5 – 2)
This expression contains exponents, parentheses, and multiplication. To solve it correctly, we need to follow the order of operations. Remember the acronym PEMDAS, which stands for:
This means we always begin by calculating what is inside the parentheses first.
3 × 2 = 6
5 – 2 = 3
So the expression becomes:
(3 × 2)(5 – 2) = 6³
The expression 6³ is read as “six to the power of three” or “six cubed.”
This means:
6³ = 6 × 6 × 6
First, 6 × 6 = 36
Then, 36 × 6 = 216
If multiplying 36 × 6 feels difficult, you can break 36 into 30 and 6:
30 × 6 = 180
6 × 6 = 36
180 + 36 = 216
Both methods give the same answer – 216 (choice D).
Read the following passage from Mark Twain’s Tom Sawyer.
After dinner all the gang turned out to hunt for turtle eggs on the bar. They went about poking sticks into the sand, and when they found a soft place they went down on their knees and dug with their hands. Sometimes they would take fifty or sixty eggs out of one hole. They were perfectly round white things a trifle smaller than an English walnut. They had a famous fried-egg feast that night, and another on Friday morning.
Which of the following literary devices is present in the passage?
There is only ONE correct answer.
Correct!
Wrong
Wrong
Wrong
Let's Break This Down Step by Step
The author describes the boys digging for turtle eggs, giving details like:
The description is vivid and appeals to the senses; you can almost see, feel, and imagine the eggs.
Answer (A) is correct because the passage clearly creates a picture in the reader’s mind with sensory details. This is Imagery.
Answer (B), hyperbole, is incorrect because no extreme exaggeration appears in the passage. One might get confused and think that the author uses hyperbole when he writes, “Sometimes they would take fifty or sixty eggs out of one hole.” However, there is no reason to believe that this is an exaggeration. It does emphasize that a lot of eggs can be found in one hole, but not through hyperbole. The author seems to be giving an estimate of the actual number of eggs, not emphasizing a point by exaggerating. If it had said that there were a million eggs, that would clearly be an exaggeration because it would be impossible, or at least highly improbable, if understood literally. Since there is no exaggeration, this is not an example of hyperbole.
Answer (C), metaphor, is incorrect because the passage doesn't include a direct comparison. The eggs are described by comparing their size to that of English walnuts, but this is not a metaphor. A metaphor compares two things by saying figuratively that one thing is the other, such as saying, “That man is a tank,” meaning that he is a powerful force. However, saying that a certain aspect of something is similar or equivalent to that of something else, such as an egg being the same size as a walnut, is not a metaphor.
Answer (D), allegory, is incorrect because the passage is a straightforward description, not a symbolic story. An allegory is a literary work or passage that, in addition to its literal meaning, has a deeper level (or levels) of understanding. Each character or event in the work (or anything else found in the story) represents either a different character or event, or some kind of broader idea. For example, an animal that leads its peers could be representing the leader of a country in real life, the jungle they live in could represent the country that he leads, and doves that fly around in the story could represent the idea of peace in that country. This is clearly not taking place in the passage.
Which phrase of the following sentence functions as an adverb?
"To end that ridiculous quarrel between you two, each one of you is going to sit at a different desk and write a two-hundred-word essay about why quarreling in my class is a bad idea," said Mr. Thomas angrily.
Correct!
Wrong
Wrong
Wrong
Let's Break This Down Step by Step
An adverb is a part of speech that modifies a verb and describes how, why, when, or where the action was done. An adverb may be one word only (e.g. fast, slowly, happily, etc.) or it may be an adverb phrase, which consists of a group of words that function as an adverb.
"To end that ridiculous quarrel between you two, each one of you is going to sit at a different desk…"
Therefore, the correct answer is (A).
Answer (B) is incorrect because “each one of you is going to sit at a different desk” is a complete independent clause, not a phrase that modifies another word. It states an action rather than functioning as an adverb.
Answer (C) is incorrect because “why quarreling in my class is a bad idea” is a noun clause. It serves as the object of the word “about” in the sentence (“an essay about why quarreling…”), so it does not function as an adverb.
Answer (D) is incorrect because while the word “angrily” is an adverb, the full phrase “said Mr. Thomas angrily” is a reporting clause, not an adverbial phrase modifying the main action.
Inside a box are ten balls of different colors: three yellow, five green, and two red.
Three balls are chosen randomly from the box without replacement.
What is the probability that none of them is yellow?
Correct!
Wrong
Wrong
Wrong
Let's Break This Down Step by Step
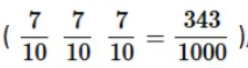
To solve this question, start by finding the probability that one non-yellow ball is chosen. Since the balls are chosen without replacement, the probabilities change after each draw. The strategy is to compute the probability for the first draw, then for the second (given the first was non-yellow), and then for the third. Finally, multiply them together.
Since there is a total of 10 balls in the box (3 yellow + 5 green + 2 red = 10) and three yellow balls, the probability to randomly choose a ball that is not yellow is:
7÷10 (number of non-yellow balls ÷ total number of balls).
After one (non-yellow) ball is chosen, the box still has 9 balls, 3 of which are yellow. The probability of choosing another ball that is not yellow is: 6÷9=2÷3
After two non-yellow balls are chosen, the box still has 8 balls, 3 of which are yellow. The probability of choosing another ball that is not yellow is:
5÷8
Finally, multiply all the probabilities you have found together to discover the probability that none of the chosen balls from the box is yellow:
(7÷10) x (2÷3) x (5÷8)= (7x2x5) ÷ (10x3x8)= 70÷240= 7÷24
Therefore, (A) is the correct answer.
Answer B. is incorrect because it only accounts for the probability of the first draw being non-yellow (7/10) and does not continue with the second and third draws.
Answer C. is incorrect because it assumes the draws are made with replacement
but the problem clearly says no replacement.
Answer D. is incorrect because it uses the ratio of non-yellow to total balls only once (7/10), instead of multiplying for three separate draws.
One of my favorite dishes to cook is stew. There are so many different kinds, and they can each serve as an entire meal. Why would you hire a composer, lyricist, writer, and lead actor for a play when Lin Manuel Miranda can do all those things by himself? In most stews, you have a built-in protein, carb, and vegetable, so you only really need the one dish.
The protein is traditionally some kind of meat, generally beef, but poultry is used as well. Choosing the right meat is one of the most important factors in making the stew; the meat can really decide if your stew is awful, average, or excellent. However, it is not as simple as “the better quality the meat, the better quality the stew.” I have a friend who put premium entrecote in his stew, and it ruined both the meat and the stew. Using entrecote in a stew is like getting Shaquille O’Neal to shoot your free-throws or hiring Arnold Schwarzenegger to sing at a party. The right meat for a stew is one that can withstand long slow-cooking and that breaks down over time, such as “chuck” meat.
The carb is usually potatoes and/or some kind of grain. I like using barley because it absorbs a lot of the liquid and flavor. Multiple vegetables are normally added, ones that become sweeter after being cooked and that add a lot of flavor. Onions, carrots, and celery are some of the most common vegetables used for stew.
My favorite way of cooking a stew is in a slow-cooker. Cooking it on low heat over a long period of time really brings out the flavor. The longer you cook it, the better and more mature it will taste. However, stew can become overcooked, even on low heat, so don’t leave it on too long, or it will end up looking as burnt as 1871 Chicago. On the other hand, if you take it out too early, you won’t get the optimal flavor. So, keep an eye on it and make sure there is still enough liquid in there. I once noticed my stew starting to burn, so I added more water and managed to save it. Once the mixture of foods has had enough time to break down and release all of its flavors, you will be left with a true masterpiece of a meal.
Which of the following statements accurately describes how the author utilizes allusions to affect the tone of the passage?
There is only ONE correct answer.
Correct!
Wrong
Wrong
Wrong
Wrong
Let's Break This Down Step by Step
The author references well-known people and events such as Lin-Manuel Miranda, Arnold Schwarzenegger, Shaquille O’Neal, and the Chicago Fire of 1871 without pausing to explain them. These are allusions.
By bringing in familiar, pop-culture and historical references, the author makes an informational piece feel more informal, colorful, and welcoming, rather than strictly formal or dry.
You need a choice that (1) accurately describes the allusions (references to famous people/events) and (2) correctly names the tone effect (how the mood shifts).
Answer (A) is correct because the author makes references to artists and actors such as Lin-Manuel Miranda and Arnold Schwarzenegger, athletes such as Shaquille O’Neal, and historical events such as the Chicago Fire of 1871. These are allusions since they are references to well-known people and events. By including them, the author lightens the mood and prevents the passage from sounding overly formal or dry. Instead, the tone becomes more informal, engaging, and welcoming, drawing the reader in through familiar and entertaining references.
Answer (B) is incorrect. The first part of the sentence gives an accurate description of how the author uses allusions, but the second part does not tell us how they affect the tone, only that the passage is made more interesting. “Interesting” is not a type of tone. It means that the passage attracts the reader’s attention, but it does not tell us what type of feeling it creates, such as formal or informal, happy or sad, angry or excited, silly or serious. Any one of those feelings can be interesting or uninteresting.
Answer (C) is incorrect because the sentence does not properly address allusions or tone. While all of the allusions made in the passage are also analogies (as they compare something about the stew to the thing that is being referenced), it is not the comparison that the question asks about but rather the reference itself. In other words, the author utilizes two devices each time he mentions one of the famous people or events: He uses allusion when he references them, and he uses analogies when he compares something to them. This question asks how allusion is used, so the explanation is inaccurate if it only mentions the analogies made but not the fact that references were made.
The second part of answer (C) states that these analogies were made “in order to make the text easier to understand.” This has nothing to do with the tone of the passage. This addresses how clear the passage is, but it says nothing about the mood or feeling of the passage. For these reasons, option C is not the correct answer.
Answer (D) is incorrect because the first part of the sentence does not accurately describe allusions. It refers to the analogies made but not the references, and as addressed in the explanation for C, this is not the same thing as the allusions.
Answer (E) is incorrect. While the second part of the sentence accurately describes the effect on the tone of the passage, the first part does not address the allusions. Allusions are references to known events, not personal stories. Allusions may be expressed as stories, but the ones in this passage are not. There are two personal stories in this passage, and neither one contains an allusion to a known event, figure, or work. Seeing as the question asks how allusions are used to affect the tone, not how stories are, this cannot be the correct answer
Julia was thirteen years old last week. Julia is too young to attend the local arts school. The school only accepts 14-year-olds or older. Julia's last name is Smith.
Which is the best way to combine the sentences above?
Correct!
Wrong
Wrong
Wrong
Let's Break This Down Step by Step
The question gives us four short sentences about Julia that include the following information:
Answer (A) includes every fact that is given to us: her name (Julia Smith), her age (just turned 13), the problem (too young), and the rule (school accepts 14+). The sentence flows smoothly and is clear. Therefore, it is the correct answer
Answer (B) is incorrect because it consists of awkward grammar. The phrase “but only accepts” does not connect logically and makes the sentence confusing.
Answer (C) is incorrect because it adds an idea that was not in the original sentences: “Julia would like to go to the school”. The task is to combine the sentences, not to rewrite them into a new one.
Answer (D) is incorrect because it is missing a key fact: it does not tell us that Julia just turned 13 last week.
X+3Y=6
2X+Y=7
Which of the following coordinates represents the solution to the system of equations?
Wrong
Correct!
Wrong
Wrong
Let's Break This Down Step by Step
George's commission on his total sales is 1%. Percentages are parts out of a hundred, meaning that one percent is one out of a hundred: 1% =1/100=0.01
If George earns a monthly wage of 2,000 dollars, plus 1% of his total sales, it means that before the tax reduction, he earns 2000 + 0.01s.
George pays a 15% tax on his total wage (Note: 15% = 0.15). He needs to reduce 15 out of 100 percent of his total wage (which is 2000 + 0.01s) and is left with 85% (100 - 15 = 85), which is 0.85. His monthly income after tax is therefore 0.85(2000 + 0.01s). The correct answer is (B) because it represents this exact equation.
Answer (A) would have been correct if George's commission on his sales was 10% 10%=10/100=0.1.
Answer (C) is incorrect because the 15% reduction excludes the tax on George's commission.
Answer (D) is incorrect because the s(sales) component is missing.
Which of the following words has the same root as the word micromanagement?
Wrong
Correct!
Wrong
Wrong
Let's Break This Down Step by Ste
The root of a word is the core that provides the most basic and crucial meaning, to which prefixes and suffixes may be added in order to modify that core meaning.
In the word “micromanagement,” the root is “manage,” which means to oversee arrangements or to be in charge of certain affairs. The suffix “ment” at the end of the word turns it into a noun, making the word refer to the idea of managing in general. The prefix “micro” refers to a very small version of something, or in this case, seeing to the smallest details of something.
Answer (A) is incorrect. “Microcosm” is incorrect because it uses the same prefix of “micro,” but it does not share the same root.
Answer (B) is correct. “Manager” is the only word in the answer choices that also uses the root “manage.” It adds the suffix. “er” to the root, resulting in a word that refers to someone who manages something.
Answer (C) is incorrect. While “Unimaginable” does share common letters with “micromanagement,” it does not share any meaningful part of the word.
Answer (D) is incorrect. “Engagement” is incorrect because it uses the same suffix of “ment,” but it does not share the same root.
Deep beneath the Western Pacific Ocean lies the Mariana Trench, the deepest oceanic trench in the world. An oceanic trench is an underwater canyon. Studying the Mariana Trench helps scientists learn more about earthquakes and ocean life.
Which of the underlined phrases is a prepositional phrase? There may be more than one correct answer.
Wrong
Wrong
Wrong
Wrong
Let's Break This Down Step by Step
A prepositional phrase always begins with a preposition (such as: in, on, at, about, under, over, beneath), which relates a sentence to the object of the preposition. The object of a preposition is usually a noun or pronoun, but it can also be a gerund or clause. A preposition can have more than one object.
Answer (A) is incorrect because lies the Mariana Trench is an independent clause, not a prepositional phrase. The subject of the independent clause (and thus the sentence) is "Mariana Trench," and the verb is "lies." While the subject of a sentence usually comes before the verb, the order can sometimes be flipped. You can also tell that lies the Mariana Trench is not a prepositional phrase because it does not contain a preposition.
Answer (B) is correct because in the world is a prepositional phrase beginning with the preposition "in," and modifying the noun "trench." The object of the preposition “in” is the noun “world.”
Answer (C) is incorrect because an underwater canyon is a noun phrase, not a prepositional phrase. While the word "under," by itself is a preposition, underwater is an adjective because it describes a single noun or pronoun, not a relationship with the rest of a sentence.
Answer (D) is correct because about earthquakes and ocean life a prepositional phrase beginning with the preposition "about." The objects of the preposition “about” are the nouns “earthquake” and “ocean life.”
The current world population contains approximately \(7.8×10^9\) people.
The current population of California is approximately \(3.9×10^7\) people.
How many times greater is the world's population compared to California's population?
Wrong
Wrong
Wrong
Correct!
Wrong
Let's Break This Down Step by Step
Scientific notation is a particular way to express numbers, to ease the use of very big or very small values. A number in this form is written in two parts:
The exponent tells you how many places to move the decimal point. Positive powers move the decimal point to the right, whereas negative powers move it to the left.
In this question, you need to compare the relative magnitude of the two numbers expressed in scientific notation. It is relatively straightforward to compare numbers in this form since all you need to do is compare two small numbers expressed as decimals and then compare the exponents of ten, noticing that every addition of a unit to the exponent expresses multiple 10.
We want to compare the world population to California’s population:
Start the comparison between the population sizes with the decimal number. As you can see, 7.8 is twice as much as 3.9:
2 x 3.9 = (2 x 3 + 2 x 0.9 = 6 +1.8 = 7.8) -> 7.8/3.9 = 2
Focus on the exponents of the tens:
The world population number shows the decimal multiplied by 10 to the power of
9 (\(10^9\)).
The California population number shows the decimal multiplied by 10 to the power of
7 (\(10^7\))
To find how many times greater the world population is, simply divide using properties of exponents:
Do not forget that the decimal number before the exponent in the world population number is also twice as high as the California number, so it also needs to be multiplied by two: 2 × 100 = 200.
You can summarize all required calculations as follows:
Read the following passage from A. A. Milne’s essay, "A London Garden," and answer the question below.
I have always wanted a garden of my own. Other people’s gardens are all very well, but the visitor never sees them at their best. He comes down in June, perhaps, and says something polite about the roses. “You ought to have seen them last year,” says his host disparagingly, and the visitor represses with difficulty the retort, “You ought to have asked me down to see them last year.” Or, perhaps, he comes down in August, and lingers for a moment beneath the fig-tree. “Poor show of figs,” says the host, “I don’t know what’s happened to them. Now we had a record crop of raspberries. Never seen them so plentiful before.” And the visitor has to console himself with the thought of the raspberries which he has never seen, and will probably miss again next year. It is not very comforting.
Give me, therefore, a garden of my own. Let me grow my own flowers, and watch over them from seedhood to senility. Then shall I miss nothing of their glory, and when visitors come I can impress them with my stories of the wonderful show of groundsel which we had last year.
In this passage, the author is writing from an ironic point of view. What does this change about the message of the passage that the reader is meant to understand, as opposed to its literal meaning?
Wrong
Wrong
Correct!
Wrong
Let's Break This Down Step by Step
This question asks you to figure out the difference between the literal meaning of the passage and the ironic meaning.
An ironic point of view is when an author writes as if they believe something, but they actually mean the opposite. The purpose is usually to mock that idea or show its flaws, much like satire or sarcasm.
To understand the irony in the passage, look at what the author pretends to believe versus what they actually mean.
The owner says:
Answer (A) is incorrect because the author does not refer to a beautiful garden in an ironic way that is meant to imply that it is ugly. His point is about the tendency of the owners to believe that it is not at its best when visitors see it.
Answer (B) is incorrect because it states the literal meaning of the passage, not the message that the reader is actually meant to understand, as the question asks for. If this literal meaning were true, this would indeed be ironic because many people grow gardens for the very purpose of showing guests, but as explained above, to write from an ironic point of view does not simply mean to write about something that is ironic; it means to write from the perspective that you disagree with.
Answer (C) is correct. The author does not actually believe that gardens are worse when visitors come to visit them, but rather he is making fun of this tendency of gardeners by writing ironically as if it were true. Therefore, as explained in answer choice C, the message of the passage is that the gardeners always believe their gardens looked better before the visitors came, not that the gardens actually are worse when people visit, as the passage reads literally.
Anwer (D) is incorrect. The author’s point is not that growing his own garden will not ensure that he sees it at its best, but rather the very notion that the visitors never see it at its best is the ironic point of view.
Which of the following is a compound-complex sentence?
Correct!
Wrong
Wrong
Wrong
Let's Break This Down Step by Step
A compound-complex sentence is a sentence with two or more independent clauses and at least one dependent clause.
Answer A. is correct. It consists of three clauses:
The first two clauses are independent—they can stand alone as a complete sentence—and are joined together by the coordinating conjunction "but." Therefore, the sentence is compound.
"Who dislikes crowded places" is a dependent clause, as it cannot stand on its own as a complete sentence. Therefore, the sentence is compound-complex.
Answer (B) is incorrect because the sentence is complex, but not compound. It consists of two clauses:
The first clause is independent, as it can stand on its own as an independent sentence, whereas the second clause is dependent, as it cannot do so. Therefore, the sentence is complex.
Note that the word "and" connects only the two adjectives of the book and not two independent clauses. Therefore, it is not compound.
Answer (C) is incorrect because the sentence is complex, but not compound. It consists of two clauses:
The first clause is independent, as it can stand on its own as a complete sentence, whereas the second clause is dependent, as it cannot do so. Therefore, the sentence is complex. Since there are no causes connected with a conjunction, it is not compound.
Answer (D) is incorrect because the sentence is compound, but not complex. It consists of three clauses:
The clauses are joined by the coordinating conjunctions "yet" and "and." Therefore, the sentence is compound. All three clauses are independent, as they can stand on their own as complete sentences. Therefore, the sentence is not complex.
Teacher Tip: Remember there are exactly seven coordinating conjunctions, i.e. words that connect between two independent clauses to form a compound sentence: and, or, nor, for, yet, but, so.
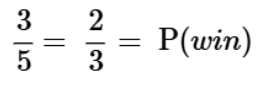
You are offered to play a game with these rules:
What is the probability of winning the game?
Wrong
Wrong
Correct!
Wrong
Let's Break This Down Step by Step
The game has two separate parts:
To win, you must succeed in both stages: first roll 3–6, and then pick a green ball.
This means you have a two-thirds chance of getting to the second stage.
This means if you get to this stage, you have a three-fifths chance of winning.
Because you must succeed in both steps (roll higher than 2 and pick a green ball), you multiply the probabilities:
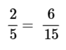
P(win) = P(roll higher than 2) x P (green ball)
Now substitute the numbers:
Multiply the numerators (2 × 3 = 6) and the denominators (3 × 5 = 15):
Simplify the fraction:
The probability of winning the game is:
2/5
Read the following excerpts from the poem “Paul Revere’s Ride,” by Henry Wadsworth Longfellow, and answer the question that follows.
Listen, my children, and you shall hear Of the midnight ride of Paul Revere, On the eighteenth of April, in Seventy-Five: Hardly a man is now alive Who remembers that famous day and year.
He said to his friend, “If the British march By land or sea from the town to-night, Hang a lantern aloft in the belfry-arch Of the North-Church-tower, as a signal-light,— One if by land, and two if by sea; And I on the opposite shore will be, Ready to ride and spread the alarm
Through every Middlesex village and farm, For the country-folk to be up and to arm.”
…
Meanwhile, impatient to mount and ride, Booted and spurred, with a heavy stride, On the opposite shore walked Paul Revere.
…
But mostly he watched with eager search The belfry-tower of the old North Church, As it rose above the graves on the hill, Lonely and spectral and sombre and still. And lo! as he looks, on the belfry’s height, A glimmer, and then a gleam of light! He springs to the saddle, the bridle he turns, But lingers and gazes, till full on his sight A second lamp in the belfry burns!
A hurry of hoofs in a village-street, A shape in the moonlight, a bulk in the dark, And beneath from the pebbles, in passing, a spark Struck out by a steed that flies fearless and fleet: That was all! And yet, through the gloom and the light, The fate of a nation was riding that night; And the spark struck out by that steed, in his flight, Kindled the land into flame with its heat.
…
You know the rest. In the books you have read, How the British Regulars fired and fled,— How the farmers gave them ball for ball, From behind each fence and farmyard-wall, Chasing the red-coats down the lane, Then crossing the fields to emerge again Under the trees at the turn of the road, And only pausing to fire and load.
Which of the following is the best summary of the poem?
Correct!
Wrong
Wrong
Wrong
Let's Break This Down Step by Step
The best summary relates all of the most essential points in a clear and concise manner. All of the information must be accurate, only leaving out information that is not crucial to story, and certainly not adding false information that isn’t written in the story at all (though it does not need to relate the information in the same way that the text does, and the summary may also clarify things that aren’t explicitly written). The best summary relates the information in a straightforward and brief manner, even if the original text uses colorful language for dramatic effect, and it does not waste time on insignificant details or even repeat important points that have already been mentioned.
The poem tells about:
Answer (A) is correct because it meets all of these criteria. Even though details such as the exact date and the name of the area (Middlesex) are left out, this is okay because we are still given a general idea of when and where it happened (in Colonial America in 1775). Even though the poem does not say that it took place in “Colonial America” and it does not specify that it was 1775, only writing “seventy-five,” this is not considered adding in information as it is implied in the text with basic background knowledge, and it is okay for a summary to provide important background information in a more explicit way than is done in the text.
Answer (B) is incorrect because it focuses more on insignificant details and less on important details. For example, it spends most of a sentence focusing on the imagery of Paul Revere riding through the villages, using phrases such as “a shape in the moonlight,” and “causing sparks to fly from the pebbles,” which tell us nothing about what happened practically and are only in the poem in order to make it more colorful and poetic. In contrast, the summary does not even specify how Revere’s friend signaled to him with the lanterns, one for land and two for sea, which is an important part of the story that the poem spends a lot of time describing. Additionally, the paragraph addresses the audience twice which is a literary technique and out of place in a summary. It is also misleading at the end when it seems to imply that this battle culminated with the winning of the war, which in actuality did not happen until several battles later.
Answer (C) is incorrect because it is unclear and not entirely accurate. For example, the first sentence does not properly explain what is happening, as it provides little context for the story and does not fully explain the situation. Also, it says that Revere saw “the light” and does not specify that he saw two, which meant that the British were coming by sea. This is unclear and even sounds more like the British were coming by land, which is inaccurate. Additionally, when it claims that Revere rode his horse “through the many villages of the colonies,” this sounds like he rode through villages throughout the colonies, which would be impossible to do in one night, and the poem states that he only rode through the villages of one county in one of the colonies.
Answer (D) is incorrect because it focuses disproportionately on certain details; it spends a lot of time describing some events while it rushes through other important parts. Two full sentences are devoted to describing Paul Revere seeing the lights, and while this is an important part of the poem, even important points can be related in a much more concise manner. In contrast, only half of one sentence is devoted to describing Paul Revere’s ride itself, which is just as important. This is clearly unbalanced and not representative of the poem. The summary is also very vague at times, even to the point of inaccuracy. For example, it never tells us that the British retreated, only that Revere was successful, and it asserts that Revere told his friend “to signal him if the British were coming by land or sea,” which is a very unclear statement that could be understood to mean that there was one signal for both options, or that they already knew the British were coming, just not how they were coming. It also claims that Revere rode through “the village of Middlesex,” when, in actuality, Middlesex is not just one village, but an entire county, and he rode through many villages in Middlesex.
Read the following passage and determine which case each beginning letter of the words in the brackets should be.
Kelly entered the room with a bright smile on her face. Something unexpected had clearly gone in her favor in the meeting. “Just so you know,” she said with a flare of pride in her eyes, “[He/he] wanted to see me to offer me a promotion.”
“A promotion?” Jenn asked incredulously.
“You mean this wasn’t about your little outburst yesterday?” asked Megan.
Kelly threw her hair off to the side in feigned indifference and replied, “[Oh/oh], it was about that.” Her grin was discernable from behind even as she turned to walk toward her desk. “Mr. Burkes happens to think I showed guts yesterday in standing up for what I believe in. He says they need more people like me in the higher offices.”
Select the two correct answers:
Wrong
Correct!
Correct!
Wrong
Let's Break This Down Step by Step
Both “he” and “Oh” appear at the start of quotations that occur in the middle of the passage’s sentences.
The rule depends on whether the quoted word is at the beginning of the speaker’s sentence or in the middle of the speaker’s sentence — not on its position within the passage.
Even though “he” comes right after the quotation mark, it is not the start of Kelly’s sentence. The sentence was interrupted by the dialogue tag (she said), and the second quotation is just continuing the same sentence. Therefore, it stays lowercase: he.
In this case, “Oh” is the first word of Kelly’s spoken sentence. Even though it appears later in the passage, it begins her sentence, so it must be capitalized: Oh.
The MAP Growth test, created by the NWEA, is a computer-adaptive assessment used in schools from kindergarten through 12th grade. It adjusts to each student’s level, giving educators a clear picture of both strengths and areas where more support is needed, and can also highlight gifted potential. On this page, you’ll find free MAP practice questions organized by grade, subject, and skill level. These resources are designed to help students build skills, improve their scores, and approach test day with confidence.
Here’s how the MAP Growth test works in practice:
MAP Adjusts to your Child
MAP Growth adapts to each student. When a student answers a question correctly, the next one becomes a little harder; if they miss one, the test offers an easier question. This adaptive design makes sure every student is working at just the right level.
MAP Offers Flexible Timing
There’s no strict time limit on the MAP Growth test. Most subjects are completed in under an hour, giving students the space they need to think carefully and do their best. Younger children often finish more quickly, while older students may take longer as they work through extended passages and multi-step problems.
MAP Covers the Core Subjects
All students take Reading, Math, and Language Usage. In some schools, Science is included as well.
MAP Growth Uses Different Question Types
Questions on the MAP Growth test come in many forms: multiple choice, fill-in, drag-and-drop, and more. This variety helps students demonstrate their skills in different ways and feel comfortable on test day.
MAP preparation should do more than raise a score — it should strengthen the way students think and learn. The best preparation is consistent practice, not cramming. Think of it like exercise; a little every day builds more lasting confidence. That’s why our packs include:
The MAP Growth test looks different at every stage of school. Use the quick guide below to explore what your child will face:
K–2
Picture-rich questions and early number/word skills. Practice is about comfort and curiosity.
Grades 3–5
Longer texts and multi-step math. Students start building stamina and test strategies.
Grades 6–8
More abstract reasoning, complex informational texts, and proportional thinking.
Grades 9–12
Advanced math problems, higher-order reading questions, and grammar skills that connect directly to college readiness.
MAP Growth scores give a fuller picture of your child’s learning journey; not just where they are today, but how they’re growing over time. Here’s a simple way to understand them:
Visit our MAP Scores page for a complete overview of MAP scores and what they really mean for your child.
The MAP Growth test is a computer-adaptive assessment created by NWEA. It adjusts to your child’s answers: if a question is answered correctly, the next one becomes slightly harder; if it’s missed, the next is easier. This way, every student is measured at their true level, showing both what they already know and what they are ready to learn next.
No. The MAP Growth test does not have a strict time limit. Most subjects take under an hour to complete, but younger children may finish more quickly, while older students may spend longer on extended reading passages and multi-step math problems.
The number of questions varies by subject and grade, but most MAP Growth tests include about 40–50 questions per subject. Because the test is adaptive, no two students see the exact same set.
While untimed, most schools schedule about two to three hours in total, often splitting the test into shorter sessions. This gives students time to focus without feeling rushed.
Many schools give the MAP Growth test up to three times a year — in the fall, winter, and spring. This schedule allows teachers to measure growth over time, rather than relying on a single score.
MAP Growth results usually do not appear on report cards. Instead, teachers and schools use the scores to track progress, group students for instruction, and sometimes guide placement in advanced or support programs.
A RIT score is a number that places your child’s performance on a continuous learning scale. Unlike letter grades, it doesn’t stop at the end of a grade level — it shows growth over time, regardless of age or grade. This makes it easier to see progress from one testing season to the next.
A “good” score depends on your child’s grade and subject. MAP Growth uses percentiles to compare results with a national norm group. For example, a 75th percentile rank means your child scored higher than 75% of students in the same grade across the country.
Yes. While MAP Growth measures skills learned in school, familiarity with the test format can make a big difference. Practice questions and full-length tests help reduce test anxiety, build confidence, and give students the chance to show what they truly know. Our MAP prep packs are designed to mirror the real test and provide skill-building practice for every grade.
Money back guarantee
Since 1992, TestPrep-Online has helped individuals prepare for all kinds of tests. From entrance exams into gifted programs, to assessment tests, and graduate assessment and placement tests, TestPrep-Online can help you prepare and pass.